近日,澳门新新浦京708澳门新新浦京708、低维量子结构与调控教育部重点实验室、量子效应及其应用协同创新中心徐勋卫教授与合作者在宇称-时间(PT)反对称领域取得重要进展。研究成果以“Anti-parity-time symmetry hidden in a damping linear resonator”为题作为亮点论文发表在《SCIENCE CHINA Physics, Mechanics & Astronomy》(SCPMA)上。

线性振子阻尼振荡相变与PT反对称破缺对应关系
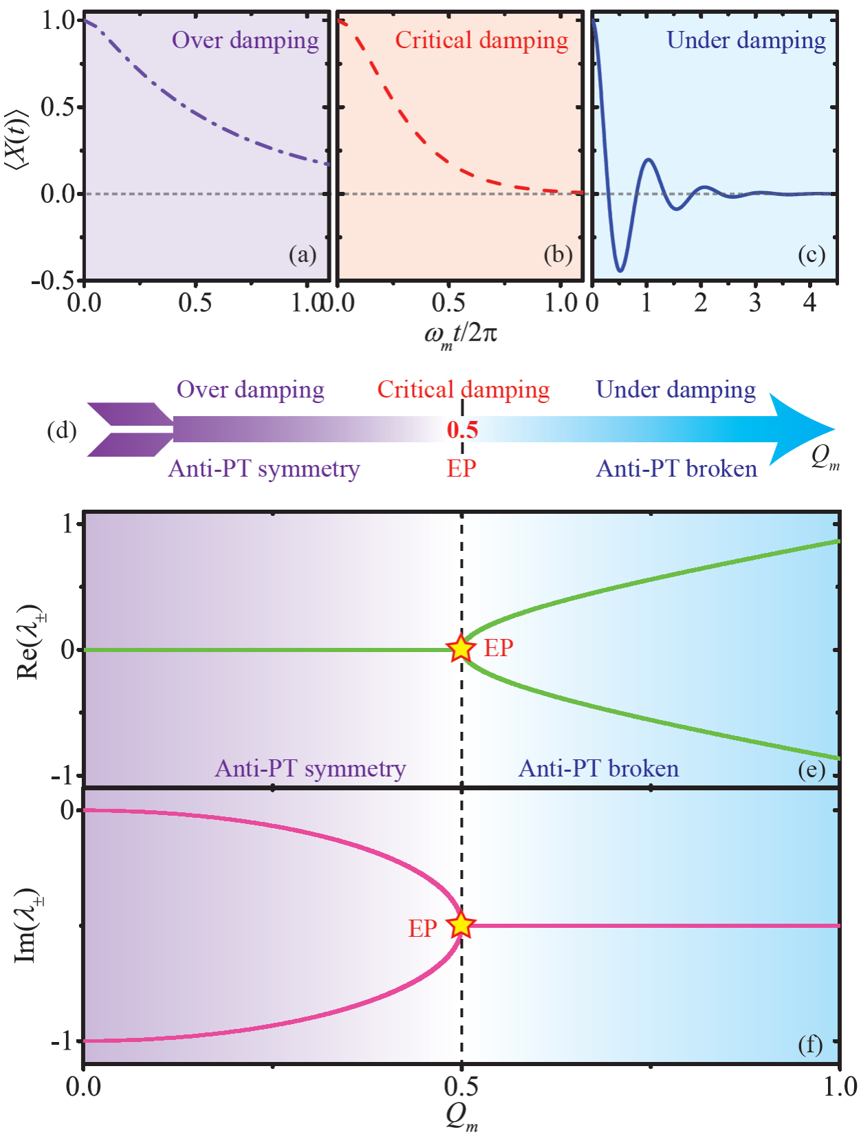
建立相变与对称性破缺之间的联系是物理学中的一项重要课题。线性振子阻尼振荡相变是物理学、力学、化学和生物学中的一个普遍现象:随着谐振子品质因子的增加,系统会出现从过阻尼到欠阻尼的相变过程。然而,与该相变过程相关的对称性破缺仍不清楚。
徐勋卫教授与合作者在研究线性谐振子动力学方程时发现该方程的系数矩阵具有宇称-时间反对称性。阻尼线性谐振子中隐藏的宇称-时间反对称性破缺诱导了阻尼振子从过阻尼到欠阻尼的相变过程。论文的创新点包括:1.首次将阻尼振荡与PT反对称联系起来,发现PT反对称破缺诱导了阻尼振荡中从过阻尼到欠阻尼的相变过程,其中临界阻尼对应着奇异点(EP);2.提出利用光力耦合调控单阻尼振子有效频率,实现PT反对称破缺相变;3.发现基于光力耦合力学PT反对称破缺可以实现传感灵敏度的显著增强。本文的研究不仅可以加深人们对阻尼谐振系统基本物理的理解,也为探索基于PT反对称性的应用潜力开辟了新途径。
新加坡国立大学电子与计算工程系院长讲席教授、美国光学学会会士、东盟工程与技术科学院院士、eLight共主编仇成伟教授在同期SCPMA上以“Damping shakes the anti-parity-time symmetry up”为题发表研究亮点(Research Highlight)评论文章,对于该项研究工作给予积极评价,指出该工作首次揭示了线性振子阻尼振荡相变与宇称-时间反对称性破缺之间的联系,并将激发宇称-时间反对称性与奇异点增强技术在诸多领域中的应用。
澳门新新浦京708为论文的唯一署名单位,徐勋卫教授为该论文的第一作者和通讯作者,廖洁桥教授、景辉教授、匡乐满教授为共同通讯作者。该工作得到了国家自然科学基金、湖南省自然科学基金和湖南省科技创新计划等项目的资助。
论文链接:http://engine.scichina.com/doi/10.1007/s11433-023-2187-7
Highlight论文链接:https://www.sciengine.com/SCPMA/doi/10.1007/s11433-023-2195-4
一审:徐勋卫
二审:贺兵香
三审:廖洁桥

当前位置: